世界论坛网 > 军事评论 > 正文
更多的核弹能带来安全吗?来自博弈论的思考
wforum.com  2026-02-20 16:14  国政学人

导读

冷战结束以来,世界范围内的核风险并未如人们所期待的那样持续下降。相反,伴随俄乌战争中的核威胁的再度出现,尤其是在当前大国战略竞争相继回归的形势下,“核优势”这一似乎早已被理论否定的概念,重新回到各国政策与学界讨论的中心:在相互确保摧毁(Mutually Assured Destruction,简称MAD)机制与核僵局依然成立的条件下,追求核优势究竟是理性的安全选择,还是一条危险且自欺的道路?对于中国当前面临的国家安全环境,是应该选择提升核武器数量以谋求自身更大的核优势?还是应在不对称的前提下实现有效的核威慑?

本文基于系统化的博弈论研究,对“核优势能否提升国家安全”这一问题进行了理论重构。文章的核心结论跳脱出有关“核革命理论(the Theory of the Nuclear Revolution,简称TNR)”的争论,并指出:只有在极其有限且苛刻的条件下,核优势才可能在不显著提高核战争风险的前提下改善一国的安全处境;在大多数情境中,核优势要么无助于外交胁迫,要么会显著提升核灾难发生的风险。

核问题的回归:为什么“核优势”再次成为争论焦点?

冷战时期,核革命理论长期占据有关核优势讨论的主导地位。其核心判断是:核武器彻底切断了军事能力与政治结果之间的联系。当任何核冲突都将导致相互确保摧毁时,追求核优势不仅没有意义,反而可能破坏国际秩序的稳定,加剧国家间冲突升级的风险。

然而,历史事实始终对该理论构成挑战:美国在冷战中系统性地追求核优势,从拒绝限制核武器“质量”的军控谈判立场,到发展精确制导、多弹头分导与反力量打击能力,华盛顿显然并未真正接受“核平衡无关紧要”这一理论结论,并在实践中增加和贯彻其核优势。由此产生的分歧是明确的:支持TNR的学者认为,美国的行为并不理性,甚至是危险的;TNR的批评者则认为,正是美国在长期发展中获得的核优势削弱了核僵局、提供了危机中的谈判杠杆,并使结果最终对美国有利。

但一个关键问题始终悬而未决:即便从军事实践层面来讲,核优势的增加在军事力量对比上“有意义”;从外交和国际关系的角度上来说,它是否真的能、以及通过何种机制转化为外交上的收益?

图片

新理论的建构:在MAD成立条件下重新引入“军事意义”

本文并未简单否定TNR对核优势的观点,而是对其提出了一个“更严格的检验标准”:即使在相互确保摧毁成立、任何战争结果都严格劣于和平的前提下,是否仍可能存在某些相对不那么糟糕的战争结果”,从而使核优势在外交博弈中发挥作用?

为此,本文作者构建了一个双边核危机博弈模型,其关键特征包括:

(1)允许国家围绕“和平条件”进行谈判,而非将和平结果设定为背景;

(2)明确区分“威慑”(维持现状)与“胁迫”(改变现状)的不同状态;

(3)将核武器视为终极威慑工具,但仍认可核力量影响战争收益的能力;

(4)将核优势拆解为两个不同维度:

        a.胜利概率(体现为核力量的对比);

        b.先发制人优势(体现为首先发起进攻的能力)。

这一组设定使得该模型能够系统地比较不同胁迫策略(如破釜沉舟、边缘政策、佯装非理性等策略)在不同核僵局条件下的效果。

博弈结构:核胁迫为何会导向结构性困难?

就博弈模型具体而言,其探讨了核威慑背景下核力量对比变量如何通过改变战争胜利概率和先发制人优势来影响外交结果(和平条件与战争概率)。若国家1为施压国,国家2为威慑国。

该模型的博弈顺序和流程为:国家1决定是否挑战现状;若其决定保持现状(status quo),则博弈结束;若挑战,则提出新分配方案,即国家得到图片;接下来,国家2决定是否接受;若接受,则博弈结束;若拒绝,国家1决定让步或升级;若升级,双方同时决定是否攻击。在此情境下,国家的战争收益为

图片

其中,为国家获胜的概率,为其决心。若仅方攻击,则其获得先发优势。若国家发动攻击而国家 未发动攻击,则双方战争收益分别为:

图片


其中,表示国家在该情形下获得的先发优势,该优势同样取决于核力量对比变量

同时,我们需要明确,情境中存在着 “危机机会”,即存在“非鸽派”,对于任意国家,国家,存在累积分布函数为、概率密度函数为的分布,是均匀分布的,此时存在图片(保持和平的可能性大于受到先发制人打击所受的损失);而满足“相互确保摧毁”或是“核僵局稳定”的条件是:

图片

(等式右边为和平收益减去先发制人的优势,即为最坏和平情况)

在基线模型(Baseline Model,即最基础的假设情形,不采用任何特殊的胁迫策略)中,若不存在危机机会(即双方国家均为鸽派),则均衡为国家1不挑战,维持现状。若核僵局稳定,且满足特定条件:

图片

这一式子表示的含义是,即代表在稳定核僵局中,若该条件成立,则危机不会升级为战争,施压国也无法通过核威胁榨取对手的让步。

从这个式子可以推出,先发制人博弈存在唯一和平均衡,也就是说,国家1的胁迫威胁失败。本文进一步指出,在稳定核僵局下,任何胁迫性威胁均缺乏可信度且必然失败,这意味着只要核僵局稳定,核平衡在外交上实践便无关紧要。

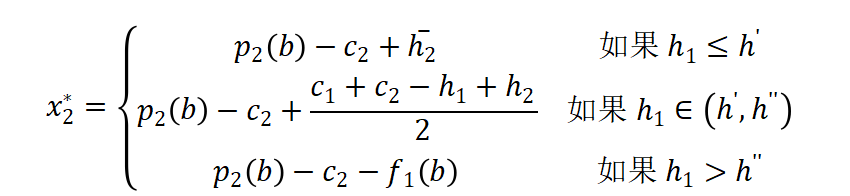
具体而言,当国家1采取“破釜沉舟”策略(承诺在遭拒后必定升级攻击)时,博弈简化为一个最后通牒博弈。均衡下,国家1提出方案:

图片

这一式子分别说明从鸽派、务实派图片、鹰派分别寻求的分配方案,共同揭示了一个冷酷的现实——在“破釜沉舟”的策略下,一国 能否通过核优势获益,高度依赖于其领导人的“决心”(h)。鸽派几乎无法利用核优势;务实派能稳步改善条件;而鹰派则可能利用核优势进行危险的赌博,将整个国家推向核灾难的边缘。这完美印证了全文的核心警示:核优势的价值并非绝对,它可能是一剂补药,也可能是一剂毒药,关键看它被谁使用、以及如何被使用。

其中图片图片

国家2接受当且仅当 

图片

这一结果表明:(1)若核优势仅通过提高胜利概率实现,则国家1获得更有利的和平条件,战争概率不变;(2)若核优势仅通过增加先发制人优势实现,则仅部分高决心类型(h′′ < h1)的和平条件改善,但战争概率增加。

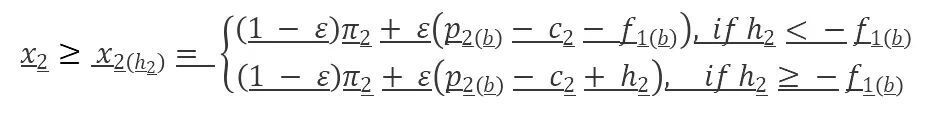
若国家1采取边缘政策(以概率ε升级),均衡形式与“破釜沉舟”类似,但国家2的接受门槛变为

图片

此时,核平衡的影响与“破釜沉舟”情形相同。

在“非理性之合理性”策略下,假设核僵局不稳定,即国家1存在一定比例图片的“鹰派”类型。均衡下,国家1提出统一方案

图片

该方案代表的含义是国家2接受当且仅当不低于其类型相关的最低要求。作者指出,在此设定下,无论核优势通过(力量对比)还是(先发优势) 实现,当核平衡对国家1更有利时,它总能获得更有利的和平条件,但同时战争概率会增加。

总结而言,在稳定核僵局下,常规核胁迫难以成功,因此核优势的外交效用有限。若施压国采取“破釜沉舟”或边缘政策,核优势通过“胜利概率”渠道可改善和平条件而不必然增加战争风险,但通过“先发制人”优势渠道则可能加剧危机不稳定性。若核僵局不稳定(存在非理性鹰派),核优势虽能带来更有利的和平条款,但会显著提高战争爆发的风险。

以史为鉴:核优势带来的不稳定性

历史记录表明,美国核优势曾显著危及其战略稳定。1969-1974年间,美国对核优势的认知从“双方均无先发制人能力”转向自信己方独有。1976年美国国务院备忘录预测,到80年代中期,美国先发制人的核打击能力可摧毁苏联近90%战略弹头,接近“解除武装式打击”的水平。苏联领导人安德罗波夫则在1983年警告,美国的新军备竞赛旨在准备“有限核战争”。至80年代末,苏联评估自身报复能力已不足以确保相互毁灭。这些证据表明,美国的核优势可能诱发先发制人渠道的诱惑,从而动摇和平根基。

即便在认识到核优势意义有限的背景下,美国仍长期坚持追求其核领先地位,在这背后是一套“政策表演”的逻辑。肯尼迪政府虽内部质疑核优势的实际效用,并推动以“确保摧毁”为威慑标准,但出于应对国会压力与维持国内政治形象的考虑,仍公开宣扬自身核力量优势。尼克松时期提出的“充足论”,试图淡化核弹头数量对比,却不得不继续强调美国在核武器质量上的优势,因为欧洲盟友已将“美国领先”等同于安全承诺的可信度。美国国防部长施莱辛格则在1974年转向“有限核战争”学说,亦可视为通过展示强硬姿态来维持其政策连续性以安抚国内外观众。种种路径依赖显示,美国的核政策往往受制于既定的“合格标准”与联盟政治,其决策者难以摆脱对优势象征意义的追求,即便其实际安全效益存疑。

结论与警示

本文构建的博弈模型厘清了核力量平衡(体现为战争胜率与先发制人优势)影响国家安全的条件。结论表明:

(1)核优势常为“无用之物”:若核僵局稳定且国家无法可靠承诺升级危机,则提升核优势仅是资源浪费;

(2)核优势可能成为“危险之源”:若核僵局不稳定,或核优势显著增强先发制人打击能力,则会诱使冒险行为,升高战争风险;

(3)核优势仅在有限情景下“有用”:唯有在核僵局稳定、国家能通过可靠承诺引发灾难(如“破釜沉舟”),且核能力不强化先发制人优势时,更有利的核力量平衡才能明确改善国家安全。

因此,TNR关于“核优势无用甚至危险”的总体判断,在更广泛条件下依然成立,而其批评者所持的“核优势必能增强安全”的观点,仅在前述严格限定的情形下有效。概而论之,核优势带来的是更好的谈判条件和更高的灾难风险。

本研究对当下各国和政策具有现实警示意义。尽管核武器在乌克兰危机中阻止了美俄直接冲突,但俄罗斯的核威胁并未达成其政治上使乌克兰屈服的目标。与此同时,当前中国核力量建设,未必需要美国以扩充核武库作为回应——若此类扩充增强的是先发制人能力,反而可能破坏稳定、诱发对抗,进一步危及局势稳定。

0%(0)
全部评论
暂无评论
当前新闻共有0条评论微信扫一扫
分享朋友圈
48小时新闻:
距中国仅一江之隔 15架SU-57在远东露天停放
印巴空战,印军盲射了200多枚S-400导弹?
俄解读中国舰载隐身巡航导弹“鹰击-18C”
“杀手”当街被抓!俄安全局总算走到前面了
扎卢日内首次披露:和泽连斯基是这么闹翻的