万维读者网>世界时事论坛>帖子
量子力学的哲学根基
送交者: 调侃军政 2025-08-14 06:30:40 于 [世界时事论坛]

骆驼

不久前我在中文论坛网站上旁观一场关于量子力学的讨论。有人问,经常听人说起“薛定谔猫”,到底什么意思?为什么猫既是活的又是死的?几个回答很有代表性:

1.  微观世界很奇妙,各种诡异的事都存在,与我们熟悉的宏观世界很不一样。

2.  就是个概率问题。如果人不打开暗盒,里面的猫既可能是活的、也可能是死的。人打开看, 结果揭晓。量子力学把这叫“坍缩”。

3.  第三个人熟悉量子力学,同意第一位,进一步解释道,量子力学中有个“退相干”过程,指宏观事物由大量微观粒子组成,它们之间互相干扰,造成很多量子现象消失。人生活在宏观世界里,所以无法理解猫同时既活又死。

这几位都道出“薛定谔猫”的一些特点,但都没说透彻,所以问的人听完后还是似懂非懂。我在国内接触过名牌大学物理系老师与同学,出国后又遇到过一长串国内物理专业顶级毕业生,也都存在类似理解上的模糊与缺失,所以觉得有必要认真讨论一次。

一 唯心论进入科学

量子力学的诞生归功于三个人,海森堡、薛定谔、和玻尔。量子概念最早1900年进入物理学,但长期没有完整理论。1925年中,海森堡提出“矩阵力学”(Matrix Mechanics),是历史上第一套逻辑自洽的量子力学体系。1926年初,薛定谔发布薛定谔方程,创立“波动力学”(Wave Mechanics),把量子力学归结为波运动,与矩阵力学对峙。1926年夏,量子物理创始人之一,德高望重的玻尔出面主持,希望将矩阵力学与波动力学归纳融合,但遭薛定谔抵触。1927年10月,在著名的第五次索尔维会议上,玻尔和海森堡联手推出量子力学的哥本哈根诠释,采用海森堡的矩阵力学作为基本哲学思想,但在方法论上更倚重波动力学。


pic-01.jpg


1. “史上最聪明的合影”,摄于第五次索尔维会议(Solvay Conference, 1927.10.24-29)。其中标注出本文出现的一些人名。这次会议和这张照片都很有名。

哥本哈根诠释迅速成功,至今依然是量子力学主流诠释。但薛定谔一直不能接受,他因此被逐渐边缘化。经过近十年认真思考,他在1935年写信给同样反对这个诠释的爱因斯坦,信中提出“薛定谔猫”思想实验。他的猫既生又死,意在彰显哥本哈根诠释多么荒谬。但他肯定没预料到,这只猫现在却成了全世界初学者理解哥本哈根诠释的重要工具

薛定谔是量子物理顶级大师,把心得说给另一位物理学顶级大师爱因斯坦听,却选择用一只猫承载自己的思想精华,而没有选择任何真的实验或具体观点。为什么?因为薛定谔、连同爱因斯坦,之所以反对,并不在于那些细节末梢。他们从一开始就看懂了海森堡的思想本质。他把唯心主义哲学直接引入物理,认为现实世界背后有个彼岸世界,正面挑战主导科学界几个世纪的实在论、或称科学唯物主义,才让那么多顶级科学家极端不舒服、坚决反对。很多人至死不渝。

(Exp. 1)         海森堡把唯心主义哲学直接引入物理。

A.分析“薛定谔猫”


pic-02.jpg


2. 左:现实世界,其中猫只可能活、或者死,不可能同时既活又死。右:对应的状态空间,是个抽象数学空间,其中存在状态矢量|S = a| + b|。符号|•状态名,代表列矢量;||是状态空间坐标系的单位矢量;a和b是复数。状态空间是二维复数空间,也是四维实数空间,再算上时间轴,就是五维实数空间,在现实中不存在,超出一般人想象范围。

海森堡发明了,或更准确地讲是“发现”了,现实世界背后有个抽象的量子状态空间。以薛定谔猫为例,在现实世界里,猫有且只有两种可能,生或死,不可能同时既生又死。但海森堡构造了一个数学空间,就是上图右侧的抽象状态空间,以“猫死了”为x轴,以“猫活着”为y轴,并定义两个单位矢量:

   

exp-02.jpg

它们是状态空间的“基底矢量”,分别定义x轴和y轴,对应“基底状态”。状态空间中任一点都可以表达为:   


exp-03.jpg

在现实中,a和b取值严重受限,只能是0或1,|S必须是基底矢量之一。但状态空间是个数学空间,只受数学原理制约,不受现实制约, a和b在其中取值更自由,包括可以是复数,只要满足:


b01.jpg

其中|a|^2|b|^2 分别代表“猫死了”和“猫活着”的概率,二者之和必然为1,所以|S是单位长度矢量。这是“玻恩定则”,指量子状态出现的概率是它复数系数长度的平方,由海森堡的老师玻恩首先发现。为便于理解,这个例子假设a和b为实数,|S落在以(0,0)为圆心的单位圆上。如果a和b为复数,|S的轨迹是4维空间中3维单位球面,一般人难以想象

很显然,当a和b取非0、1值时,|S在现实中没有对应状态,只存于状态空间。一个简单例子,假如a和b为实数,且猫死和活的可能性一样高:


b02.jpg

这就是一个让很多人疑惑的 “薛定谔猫同时既生又死”状况。他们疑惑,因为他们眼光局限于现实世界。海森堡为量子力学打造的抽象状态空间不在现实里,而是唯心主义哲学讲的彼岸世界,或更准确地讲,是彼岸世界里的一部分【17】。

(Exp. 4)         所有独立于物质世界和人脑而存在的东西构成彼岸世界。

当年围绕哥本哈根诠释展开大争论时,相关物理学家们懂得它的唯心论本质,包括海森堡、玻尔、薛定谔、和爱因斯坦。但我从没读到中文教科书或专业文章写出这点,也没遇到过在中国的老师或同学说出这点。这就是为什么中文论坛里大家热烈讨论薛定谔猫,却讨论不出个所以然的原因。所以我要写这篇文章。

(Exp. 5)         要理解量子力学或薛定谔猫,人必须接受彼岸世界。

B.观测与观测难题

我曾介绍过,实验者的“观测”在量子物理中占据重要地位【15】。根据哥本哈根诠释,观测造成两个后果:

1. 叠加态坍缩

量子叠加态只存于彼岸世界,坍缩让它随机变成现实中可行的基底状态之一。比如“猫既死又活”变成“猫或死或活”,|S = 1/√2|〉 +1/√2 | 坍缩成|s = ||。如上图所示,在数学上,坍缩是在状态空间中|Sx或y轴投影,过程中丢失部分信息,比如相位角θ。在哲学上,坍缩是彼岸世界向现实世界投影,因丢失信息所以不完美。世界的本质是量子的,坍缩是量子态变成现实的重要、甚至唯一方式。量子力学与2500年前的柏拉图哲学不谋而合:

(Exp. 6)         量子坍缩印证柏拉图理念,现实是理型世界不完美的影子。

理型世界就是柏拉图版本的彼岸世界。人生活在现实中,科学研究现实。坍缩造成量子态变成现实,是物质生成机制。但薛定谔不能认同。他并非没道理。坍缩有很多问题,其中最根本一条,它违反逻辑。具体讲,它违反逻辑公理“充分理由律”PSR。PSR说,“任何事务发生,背后都有充分理由”,如不存在“无中生有”【16】。

(Exp. 7)         哥本哈根诠释的坍缩理论违反逻辑公理PSR。

薛定谔猫从叠加态|S坍缩到|死 |活,哥本哈根诠释只能解释其在大样本中的概率,却不能解释单次坍缩结果。现实在微观粒子不断坍缩中产生。根据简单估算,人体内每秒发生量子坍缩次数约为10^20 – 10^30。可想而知,宇宙自诞生以来发生的坍缩次数多么巨大。坍缩对物质世界如此重要,科学却无力解释,而且完全看不到希望。这就是著名的“观测难题”(The Measurement Problem)。

(Exp. 8)         科学无法完全解释坍缩,被称为“观测难题”。

2. 观测矩阵

在哥本哈根诠释中,“观测”由复数域里的观测矩阵A表达,A的特征矢量是状态空间的基底矢量,观测结果是其对应的特征值。在量子力学中,观测结果都是实数,所以A的特征值总是实数。在薛定谔猫例子里,A的特征矢量是||,所以:


b03.jpg

a01-eigenvalue03.jpg

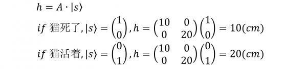
比如我们要观测猫身高h。死猫躺着,高度为10cm;活猫站着,高度为20cm。那么:


b04.jpg

观测先造成|S坍缩到基底状态|s,然后:


b05.jpg

总之,海森堡用线性代数描述量子系统。其中量子状态由矢量代表,状态变化或人为操作,包括观测,都由矩阵代表,所以他的体系被称为“矩阵力学”。

自从四百年前伽利略开创现代科学以来,很多人开始信仰科学、认同无神论,因为觉得科学可以解决宇宙中一切问题。现代科学确实曾声称能够解决一切问题。比如根据牛顿物理,人只要知晓宇宙在某个时刻的完整状态,就可以精确推算出过去、或未来任何时刻的状态。如果科学真能解答所有问题,神自然不再必要。但在20世纪初,爱因斯坦和海森堡等人掀起新科学革命。哥本哈根诠释告诉人,科学寻遍现实,依然不能回答宇宙中一个根本问题,就是量子态蕴含巨量可能性,为什么单单坍缩成我们身处的这个现实?

(Exp. 9)         科学无法完全解释现实世界。

最简单直接的答案是,现实之外有个意志让宇宙如此,在幕后挑选了每个坍缩结果。根据定义,这个意志就是神。接纳神存在,坍缩就符合PSR、不再违反逻辑,“观测难题”也就迎刃而解。但科学界不接受这个论点,大概也不应该接受。因为科学的目的就是研究现实,科学理论必须在现实范畴内,而神在这个范畴之外。科学本质上是一门专业,针对整个世界的一部分,而非世界本身。所谓“术业有专攻”,受其本质限制,科学无力、也无须回答世界根本问题。

(Exp. 10)        探究世界的根本,不能完全依赖科学,最终只能依赖信仰。

二 真知灼见来自顿悟

pic-03.jpg


3. 左:海森堡(Werner Heisenberg, 1901 – 1976)。右:他的家族墓碑,十字架在中央。他们全家都是虔诚的基督徒。海森堡有句广泛流传的名言,“自然科学就像一杯水,你喝第一口,它会让你变成无神论者;但你喝到杯底时就会发现,神正在那儿等着你。

海森堡提出矩阵力学时只有23岁。他的革命性科学思想从哪里来?为回答这个问题,我们简略追踪他的成长经历。1901年底,他生于德国中部一个小城。他父亲原是中学老师,专攻东罗马哲学和希腊文,后因学术成就特别优异,被慕尼黑大学聘为正教授,非常罕见。他母亲是家庭主妇,外祖父是位德高望重的中学校长。他家算不上显赫,经济小康,但书香门第,让海森堡从小好学。

国人对近代欧洲的印象经常被法国大革命、苏联革命、及其他众多左派革命与社会运动主导,但德国不符合这种印象。德国是基督教新教改革的故乡,在第一次世界大战之前虽经历多场战争,却几乎都为维护基督教而战,没有经历过大规模反基督教革命或社会运动,所以民间基督教传统坚实深厚。尤其在1871年建国之后,德国全方位崛起,民众愈发自信,基督教信仰更加深入人心。海森堡父母都是路德派基督教徒。路德派就是新教创始人马丁路德的教派,是德国基督教主流。海森堡和父母一样,一辈子对神虔诚。晚年时他总结自己追求科学的心得,却重点谈到信仰。他说:

“在科学史上,自从著名的伽利略受审以来,人们一再声称科学无法与宗教(指基督教)相调和。尽管我现在深信科学在其领域内不可动摇,但将宗教视为人类过时思想、未来必将被摒弃,我发现那不可能。在过往生涯里,我不得不反复思考这两种宗教(指科学和基督教)之间的关系。我从没怀疑过它们揭示的事物都真实存在。”12】

在各级学校里,海森堡都是模范学生,除体育之外,所有科目都顶尖。他体育也不差,只是不顶尖。他健康、聪慧、乐观、与人为善,被周围人喜爱和看好。但有时他也爱争强好胜,骄傲到近乎自负,是典型德国人性格。唯心主义哲学与基督教观念相通。德国人广泛信仰基督教,所以唯心主义哲学在德国大行其道,仅在近300年里就产生了康德、黑格尔、费希特、叔本华、胡塞尔等众多世界级唯心主义大师。海森堡从小喜好哲学,十几岁读柏拉图名著《蒂迈欧篇》,对神如何创造和维持宇宙印象深刻。成年后回忆,他常谈到青少年时期与老师和同学们争论哲学问题的情景。他说,“我的思想是在学习哲学过程中成型的,就是柏拉图之类的东西”【2】。

第一次世界大战(1914-1918)强烈冲击德国。海森堡当时12到16岁,不可能参军,但非常爱国,积极加入类似童子军、青年团的各种组织。这些组织都依附于教会,推崇基督教道德与哲学、传统贵族精神、集体荣誉感、和爱国主义,同时提倡德国文学与音乐等。海森堡在这些团伙中结交很多朋友,其中大比例后来成为牧师、神学家等。他自己的人生观、思想方式、生活习惯等,也在这个时期成型。比如他开始热衷歌德的诗、并喜欢演奏钢琴,后来保持一生。大战结束后,海森堡自愿参加德国著名民兵组织“自由军团”,与信奉马克思主义的巴伐利亚苏维埃共和国作战。但他只有18岁,没机会真刀真枪上战场。这个苏维埃国也短命,一年之内灭亡。后来他把这段经历只看成有趣的历险记。再后,他进入哥廷根大学主攻物理,把在战争时期积攒下来的对神与国家的满腔热忱都投入科学,迅速出类拔萃。

A.玻尔与海森堡相识


pic-04.jpg

4. 左:玻尔(Niels Bohr, 1885 – 1962)。 中:1934年玻尔与海森堡在哥本哈根。右:经玻尔量子化改进后的原子行星模型,其中标注爱因斯坦光子能量公式 E = hfh为普朗克常数,ℏ = h/2π是约化普朗克常数,f为光频率,w = 2πf是角频率。

1922年夏,量子物理鼻祖之一,年仅36岁的玻尔来到哥廷根大学访问。玻尔因提出量子化原子行星模型,刚刚获得诺贝尔物理学奖。早有科学家提出,电子绕原子核转动,就像地球绕太阳转动那样。玻尔提出修改,认为电子只可能处于几个固定轨道,代表离散的能量级,不能持续发射电磁波,所以不会因能量损失而坠入原子核。玻尔模型成功解释了很多实验现象,但违反经典电磁学。当时没人能解决这个矛盾。海森堡年仅20岁,在报告会上公开提问,玻尔立刻感到这个年轻人独特。会后两人继续讨论,越讨论越投机,于是一起到校园附近的树林中散步,肩并肩又交流了几个小时。这次谈话深刻影响海森堡一生。后来他回忆道,“(我)真正的科学生涯就始于那个下午”【6】。

散步中玻尔信马由缰,谈及量子领域多个前沿问题。关于原子内部世界,他说我们知道的越多,就越觉得不可思议。我们没有语言描述那里的微观世界,因为日常语言都源自宏观世界,科学语言都基于经典物理。海森堡听得兴奋不已,并惊奇地发现,玻尔根本不把原子內部粒子看作物质世界里的东西。物质世界里的东西都有位置、速度、形状等,但在原子内部,这些变量全都不可测量,所以都说不清。海森堡急切地问,“那么我们要怎样理解原子?”玻尔迟疑了一下,然后说在到达那步之前,“我们必须首先搞懂到底什么才算‘理解’”【6】。

B.赫尔戈兰岛顿悟

海森堡身处量子物理急需突破的历史关头。1900年,普朗克在研究黑体辐射时成功引入量子概念,标志量子物理诞生。但在之后25年里,量子理论成为科学家们集体 “作弊”手段。每当经典理论无法解决问题时,他们就把量子概念搬出来试一试。有时成功、有时失败。无论哪种情况,他们都说不清为什么。比如玻尔量子化原子内电子轨道,但无法解释为什么处于最低轨道上的电子不发射电磁波。爱因斯坦在1905年研究光电效应时将光量子化,也就是把光看成粒子,意味光有波粒二相性。这点我们中学时都学过。但他没解释为什么在光电效应里光是粒子、在其他情况下是电磁波。1924年,法国物理学家德布罗意提出所有粒子都有波粒二相性,也没解释为什么。矛盾越来越尖锐,量子力学基础不明、逻辑不清的状况愈发刺眼,到了荒唐可笑的程度。当时物理界流行一个笑话,说这星期一三五光是波、二四六是粒子,下星期的安排还没确定。

海森堡是学术天才,20岁进大学,23岁拿到博士学位,25岁被任命为正教授,是德国历史上最年轻正教授之一,30岁获得诺贝尔物理学奖,又是历史上最年轻获奖者之一。1925年他博士刚毕业,留在母校哥廷根大学,为玻恩做研究助理,大方向是利用光谱探讨原子结构,涉及各种量子现象。那年夏天,花粉泛滥,他严重过敏,所有药物都压制不了。忍无可忍,他只身来到位于德国外海的赫尔戈兰岛上修养。这个岛很小,大约一平方公里,没几个居民,风景秀丽,当然没有花粉。他放松自己,每日或登悬崖看风景,或咏颂歌德诗作,但头脑里时隐时现总在想象着原子内部世界。一天半夜,他突然想通了。后来他回忆,“那是凌晨3点左右,最后结果突然摆在我面前。我深深震撼,非常激动,完全睡不着,就走出房间,登上一块海边巨石,独自等待日出”【13】。这就是矩阵力学的由来,海森堡因此获得1932年诺贝尔物理学奖。这个故事被称为“赫尔戈兰岛顿悟”,在物理学史上赫赫有名。


pic-05.jpg

5. 左:俯瞰赫尔戈兰岛;右:岛上特别立碑纪念“赫尔戈兰岛顿悟” (Epiphany at Helgoland)。碑文写道,“1925年6月,海森堡23岁,在此获得量子力学领域突破。(其)关于原子场自然规律的基本理论,深刻影响人类思想,远超物理学范畴”。

C.施特恩-格拉赫实验与量子自旋

薛定谔猫直观易懂,但毕竟只是寓言,经不起严肃推敲。猫、暗盒、和其他实验器具都是宏观事物,内含天文数字的基本粒子,相互作用错综复杂,造成薛定谔猫不可能真的体现量子性质,最多只是个思想试验。要讨论量子物理,我们必须刨析微观世界中真实的量子现象。量子“自旋”(Spin)是每个微观粒子的基本性质,也是众多物理现象背后的原因,涉及数学简单,类似前文对薛定谔猫的分析。施特恩-格拉赫实验就是关于量子自旋,历史地位重要,这节选它作为进一步理解矩阵力学的切入点。

 


pic-06.jpg


6. 施特恩-格拉赫实验(Stern-Gerlach experiment)示意图。实验目的是观察、测量自由电子角动量,是量子物理发展史上著名实验。施特恩在1921年提出实验设计,格拉赫在1922年成功完成实验。两位都是德国物理学家。前者一生82次获得多个学科诺贝尔奖提名,并获得1943年诺贝尔物理学奖。后者是第二次世界大战期间德国核武器项目组重要成员。

在海森堡提出矩阵力学之前,物理学界已猜测到电子存在自转,并且角动量可能量子化。在1920年代初,原子行星模型已是主流观念, 认为原子内部如同太阳系,电子绕原子核转动,就像地球绕太阳转动。但地球不但绕太阳公转,还饶自身南北轴线转动。所以当时科学家们设想,电子也绕自身轴线转动。这就是“自旋”概念的由来。

施特恩-格拉赫实验结果表明,电子确有角动量、并且数值离散,如上图。根据经典电磁学,如果电子没有自转,高速电子沿x轴通过磁场,按左手定则只受到y轴方向洛伦兹力,最终应该落到显示屏中线处。同样在经典电磁学里,如果电子存在自转,按右手定则形成自身磁场,如同一个个小磁棒。虽然小磁棒朝向随机,但在磁场中都受到z轴方向磁力,投射到显示屏上,应该呈现一条线,沿z轴方向延展。但实验中显示屏上形成两个分离亮区,沿z轴方向发散。它们没有连成线,屏幕中线上也没有亮区,说明电子有角动量、且角动量数值量子化。

这个实验看似直截了当,却困扰物理学界很多年。倒不因为量子概念本身,而因为实验测得电子角动量过高。根据已知电子质量与半径,物理学家们推算出电子表面速度,远高于光速。爱因斯坦在1905年提出侠义相对论,在1915年提出广义相对论,都认为物体速度不可能高于光速。在1920年代初,主流物理界已广泛接受这个观念。

矩阵力学出现后,困境才解除。海森堡理论的含义是,在人观测之前,微观粒子不存于物质世界,只存于彼岸世界。在人观测后,它们才从彼岸世界坍缩到物质世界,变成一个个“硬体小球”。在矩阵力学出现之前,物理学家们从经典物理中汲取直觉,都是想当然的实在论者,以为微观粒子就是现实世界里的一个个硬体小球。在上图中,观测发生在电子撞击显示屏时。在此之前,电子在磁场中穿梭,以纯数学形式存在,是个数学对象,并不是硬体小球。所以电子自旋,是数学对象的一个数学性质,完全抽象,不代表硬体小球做机械自转。根本就没有这样的小球,所以不存在球面速度超过光速的问题。

(Exp. 11)        在观测之前,自由粒子只存于彼岸世界,是纯数学对象。

电子游戏可以帮助人理解量子物理。战斗游戏中常有“战士”、“武器”、“生命”等元素。这些称呼、连同相关屏幕形象、音响效果等,勾起游戏玩家直觉,仿佛它们是真的战士、真的武器、真的生命等。但它们本质上只是屏幕上的特定像素组合、扬声器里的特定音效等,背后都是几行程序编码,并没有任何实体。与此相似,电子、动量、能量、角动量等,也都勾起人相关直觉,让人联想到生活里的经验、或经典物理中的概念等。但在坍缩之前,微观粒子只存于彼岸世界,并不是现实世界里的物体。所以它们的各种性质都是数学概念,也只存于彼岸世界。

在海森堡提出矩阵力学几年后,奥地利物理学家泡利提出较全面的量子自旋理论,并因此获得1945年诺贝尔物理学奖。角动量L与自旋数s之间关系:


b06.jpg

其中s只可取值整数或半整数0, ½, 1, 3/2, 2, 5/2…;s和L都量子化。


a02-angular-momentum01.jpg

自旋数s非常重要。物理学家们发现,s为整数的粒子在宇宙中负责传输力,其中最简单的是光子,s = 0。s为半整数的粒子构成物体,其中最简单的是电子,s = 1/2。自旋数为s的粒子可以取多种量子状态,以数值为名,分别为-s, -s+1, … s-1, s。比如光子s = 0,只有一个自旋态;电子s = 1/2,有两个自旋态,-1/2和+1/2,分别代表下旋与上旋。

(Exp. 12)        整数s粒子传输力, 半整数s粒子构成物体。

虽然角动量是矢量、在x, y, z三个方向上都取值,但人们通常只关注磁场方向(图中z轴)。电子在z轴的自旋有两个可能状态: sz = +1/2,对应上旋,状态名称为|↑sz = -1/2, 对应下旋,状态名称为|↓

在数学处理上,电子在z轴上的自旋问题与薛定谔猫类似,抽象状态空间也是2D复数空间,或4D实数空间,也有两个基底矢量:

exp-13.jpg

其中f和g是复数,|f|^2 + |g|^2 = 1,代表总概率为100%。不失一般性,上式可改写成:

exp-14.jpg

其中ab都是实数,exp(iα)和 exp(iθ)纳入表达式中所有虚数成分,a^2 + b^2 = 1。因为exp(iα)在括号部分之前,代表将括号部分在复数空间中逆时针转动α,所以α称为全局相位。类似地,θ代表|↑|↓系数之间的相位差。物理学家们很早摸索出一条量子物理中的重要规律:

(Exp. 15)                  全局相位不影响任何可观测量。

所以全局相位可略去,|S进一步简化为:

exp-16.jpg

(Exp. 13)和(Exp. 16)类似(Exp. 2)和(Exp. 3),只是前者允许复数系数。

D.矩阵力学小结

设想你是个“侦探”,正在法庭上慷慨陈词,分析名叫“电子”的嫌犯如何作案。犯罪现场叫施特恩-格拉赫实验。你有确凿证据1)电子离开了发射源;2)电子作为一个硬体小球撞击在显示屏上;然后你宣称,电子必然通过了磁场。你感觉自己事实明确,逻辑清晰,结论无懈可击。这时一位名叫爱因斯坦的专家反驳道,“根据你给出的电子起点与终点位置,我计算出它的轨迹与状态,发现它必然高速旋转,且表面速度高于光速。这不可能”。他话音一落,法庭哗然。陪审团觉得你所有陈述都站不住脚,这时你该怎么办?

1920年代大部分时间里,物理学界就处于“你”的位置。外行人也许感觉不到,内行人知道物理学根基受到挑战,处于严重危机之中。最后,海森堡和好朋友泡利给出解答。他们讲了一个天方夜谭式的故事,说电子确实从发射源飞到显示屏,但它的飞行路径在彼岸世界里,绕开了现实。这虽然解决了问题,但让科学界陷入另一种尴尬。科学与传统神学与哲学斗争几百年,大声疾呼只有现实才真实,现实之外的东西都虚假;科学专注现实世界,可以解决一切问题;结果现在科学无力解决现实中最基本问题,不得不求救于现实之外的彼岸世界。当然,就像大饥荒时医生把饿死人叫“心肺功能衰竭”、经济萧条时律师把房东驱赶房客说成 “行使基于物权返还请求权”,物理学家们也会用艰深难懂的专业术语掩盖尴尬,说电子处于希尔顿空间中一个量子叠加态、以波函数形式运动,让老百姓云里雾里,也就不觉得问题那么严重、局面那么难堪了。

(Exp. 17)        在对抗唯心论几百年后,科学不得不向唯心论求救。

在海森堡之前,很多世界上最聪明的人涉足量子物理,包括普朗克、玻尔、爱因斯坦等。他们都看到物理学的危机,内心焦急却一筹莫展。这些人那么博学、优秀、与各种量子理论危机共处多年,却无法像海森堡那样实现突破,为什么?根本原因在于他们的世界观。他们的头脑被他们热爱的科学局限。经典物理以牛顿力学和经典电磁学为核心,把宇宙看成一个大舞台,其中所有角色都是物体,每个物体状态都由其质量、电荷、位置、速度、加速度等几项简单性质决定。在任何时刻,宇宙状态就是其中每个物体状态的合集,且都可以根据其他时刻的状态推算出来。简言之,宇宙完全自给自足。那些伟大的科学家们深信科学,即使普朗克是基督徒、玻尔熟知唯心论,他们也认为在研究科学时就应该把科学看得最高,把其他思想都留在门外。在科学研究中,他们理直气壮地追随实在论(realism),或称自然主义(naturalism)、科学唯物主义(scientific materialism)等,所以眼里只容得下现实,在这点上与文章开头讲到的中文论坛参与者们类似。

(Exp. 18)        海森堡把信仰与哲学当真。

海森堡不同,当时只20出头。少年的心还在为基督信仰激荡,对柏拉图智慧的崇拜还鲜活。当“成熟”科学家们只把《圣经》看成社会传统,把柏拉图理论看成古老寓言时,海森堡把它们当真,认真思考它们,一本正经地把它们用到物理学中,所以创立了惊世骇俗的矩阵力学,把物理学建立在唯心主义哲学基础之上。当然,他并没完全抛弃科学中的实在论,因为科学的目的就是研究物质世界,科学要求科学家尽量在物质世界里寻找规律,所以科学中的实在论不可能、也不应该被完全否定。但他看清了,科学要真正理解物质世界,就必须超越物质世界,在物质世界之外寻找根本答案。他总结道:

“现代物理学已经明确站在了柏拉图(唯心主义鼻祖)一边。物质的最小单位其实并不是通常意义上的物体,而是(柏拉图提出的)理型,是只有数学才可能精准表达的理念。”【7】

三 薛定谔与波动力学

思想革命总会遭遇挑战,海森堡的矩阵力学当然不例外。其中最重要的挑战来自薛定谔和他的波动力学。薛定谔比海森堡年长14岁,出生在奥地利维也纳,父亲是个知识分子商人,既博学又富裕;母亲是著名教授的女儿。他从小生活环境优渥,并受到家庭浓厚学术气氛的熏陶,学业优异。第一次世界大战爆发时,他27岁,已获得博士学位,并在维也纳大学做满4年研究助理,刚获得任教资格,却被征召入伍,在炮兵部队里担任技术军官。战争结束时他31岁,重回大学任教,成为光学专家,熟知各种波动理论。


pic-07.jpg


7. 左:青年时代的薛定谔(Erwin Schrödinger 1887–1961)。右:薛定谔纪念碑,刻有薛定谔方程的现代表达式,位于维也纳大学校园。

德国在1871年建国,在此之前,奥地利与德国同属德意志地区,维也纳是其中最国际化的都市。1848年大革命席卷欧洲,维也纳知识分子是急先锋,从此左派思想主导这个群体,在德语区里最极端。虽然父母都是基督徒,薛定谔从青年时代起就信仰模糊。第一次世界大战结束,奥地利战败,维也纳知识分子更加反传统。薛定谔身处其中,思想被战争经历强烈冲击,世界观重塑,成为外人眼里的无神论者,但他从未明确承认过。

“无神论”在东西方语境里意义差别巨大。薛定谔其实非常重视宗教与哲学问题,一生从未停止思考,包括花大量时间与精力研习印度宗教与哲学,并认为科研工作就是自己在精神上通往神圣境界的道路。他只是怀疑、拒绝主流社会的传统基督教信仰与相关哲学。他的无神论与现代中国精英彻底唯物、对神完全无知的无神论根本不同。

(Exp. 19)        东西方无神论含义不同。

薛定谔与海森堡世界观两级。前者作为成年人和军人亲历第一次世界大战,而后者当时还是个孩子,只懵懂地旁观。德奥战败,击垮了薛定谔的文化自信,但对海森堡影响甚微。我曾介绍过,第一次世界大战之后,欧洲大陆,尤其战败方,人民普遍对传统文化信心崩塌,各种反传统思潮汹涌。反基督教的逻辑实证主义哲学就以维也纳为大本营,核心人物就是薛定谔的师弟、同事、或熟人【10】。薛定谔很早成为物理界顶尖人物,学术地位比那些人高,自然不会跟着他们跑,但与他们拥有对传统思想同样的怀疑。

薛定谔从一开始就看穿了海森堡矩阵力学的本质,极端反感,嘲讽它为“Transcendental algebra” (形而上代数)。Transcendental在当时德语中很常见,人们在教会里、讨论哲学时、和日常生活中都用到。它源自基督教用语,本意指人放弃现实、追求天上的神。康德称自己的学说为Transcendental idealism,德语区知识分子无人不晓。其标准中文翻译是“先验唯心主义”,不能算错,但丢失了Transcendental包含的丰富意义。康德是虔诚的基督徒,其哲学与基督教义一致,与柏拉图思想一脉相承,认为物的本质是“本体”,也就是关于物质世界的真理,超越人的感官感知,存于彼岸世界。薛定谔说矩阵力学Transcendental,因为他看到其背后的基督教义与主流唯心主义哲学。他的反感表现在物理学里,但原因超越物理学,根植于他的世界观。

A.薛定谔方程

海森堡发表矩阵力学大约半年后,薛定谔在1926年初发表薛定谔方程,代表量子波动力学诞生,与矩阵力学抗衡。薛定谔因此获得1933年诺贝尔物理学奖,比海森堡晚一年。薛定谔方程的现代常见表达式为:


a03-schrodinger-equation02.jpg

很多人觉得薛定谔方程难懂,其实它本质简单,只不过在量子叠加态下重写中学物理讲过的E = hf,代表能量驱动量子系统如何沿时间变化。我用红字给出公式各部分的简单含义,虽非绝对精准,但能帮人获得直觉。其中Ψ(r,t) 是复数波函数,通常是粒子位置波函数。根据波恩定则,|Ψ|^2代表时空点(r,t)发现粒子的概率密度。r是三维空间矢量,t是时间。r连续,代表在时间t粒子可能处在无数地点, 所以Ψ代表无限多维量子叠加态。等号右侧Ĥ是汉密尔顿算子,作用于Ψ得到总能量E的叠加态。等号左侧Ψ对t求导,得到波函数变化速度,与角频率w或频率f密切相关。代表E量子化。i 保证整个偏微分方程的解是稳定的波动,而非不稳定的指数增长或衰减。形式最简单的波叫作“平面波”,表达式为:

exp-20.jpg

薛定谔方程是科学史上一项伟大成就,至今依然是最常用、最著名的量子力学方程。它把万物都看成波,用复数函数Ψ(r,t)代表。Ψ是多重状态叠加,类似猫同时既死又活,现实中容不下,所以必须引入彼岸世界。很明显,现代版薛定谔方程包含海森堡思想。薛定谔方程之于量子力学,类似牛顿第二定律F = ma之于经典力学。在经典力学中,F = ma让人精准计算世界未来与过去;在量子力学中,薛定谔方程让人精准计算量子系统的未来与过去。但它们也有关键不同。F = ma的所有元素都存于物质世界里,并且牛顿体系不容纳例外。薛定谔方程针对彼岸世界,但存在例外。比如观测造成坍缩,让薛定谔方程变得不适用。

(Exp.21)        薛定谔方程之于量子力学,类似牛顿第二定律之于经典力学。

1926年最初提出方程时,薛定谔强调它存于现实之中,即使虚数出现在表达式中,也只是为计算方便的辅助工具。他只要复数解中的实数部分。这种狭隘理解限制了方程早期应用,它只被用于静态系统,波函数不随时间改变,比如稳定氢原子内部电子状态等。只有在主流物理学界抛弃薛定谔本人的理解、将薛定谔方程与矩阵力学结合后,它才发挥出其真正效能,比如可以计算动态系统。

薛定谔方程没考虑相对论效应。研究微观世界时,相关空间通常极小,所以广义相对论效应可以忽略不计。但微观粒子速度可以很高,狭义相对论效应明显。目前存在多个计入狭义相对论效应的薛定谔方程改进版,最著名的包括克莱因-戈尔登方程(Klein-Gordon equation),针对自旋s = 0的粒子,主要是光子;还有狄拉克方程(Dirac equation),针对s = ½的粒子,主要是电子。量子物理发展迅速,很多理论和实验都有个变化过程,最初的形式或设置与现代理解不同。为帮助读者用最小成本理解复杂问题,在介绍所有理论和实验时,本文只给出现代版本,除非特别说明。

exp-22.jpg

B.以双缝实验为例

薛定谔的一个核心洞见令人震惊,他说任何东西在微观世界里都是波。这是真的吗?简单的双缝实验给人直观答案。

1755117846120775.jpg

8. 量子双缝实验示意图。可采用任何粒子,如电子、光子、质子等,这里以电子为例。发射源每次只射出一个电子,保证任一时刻在发射源与显示屏之间只存在一个电子。电子撞击显示屏,在撞击处留下微小亮点。被成千上万个电子撞击后,在有些情况下显示屏上产生两个亮区,如左图。人自然觉得电子都像“硬体小球”,从发射源射向显示屏,类似子弹从枪膛出发,射向靶子。在另一些情况下,显示屏上产生多个干涉条纹,如右图。人看到后会觉得电子不可能像硬体小球,而像水波,被双缝分成两个波,在显示屏上发生波干涉。我曾介绍过双缝实验【15】。

人通常觉得单个电子就像个硬体小球,但在有些双缝实验中,显示屏上出现干涉条纹,如上图右侧,这就是量子“相干”现象(coherence),直观证明电子不可能是硬体小球,只可能是波。这里用Ψ(r, t)代表其波函数。单个电子的波也可能范围巨大,理论上可能覆盖整个宇宙。当人观测电子位置时,它才从波的形式坍缩成硬体小球。这个小球可能出现在波覆盖的任何地方,所以空间中每一点都有小球出现的概率密度值。根据波恩定则|Ψ(r, t)|^2就是如果坍缩发生在时刻t,位置点r对应的概率密度。在一个时刻,电子可能出现在多个位置,代表Ψ(r, t)本质是电子位置的叠加态,与前文中薛定谔猫的生死叠加态、或电子自旋s叠加态本质都一样。区别在于后者只有两个基底状态,对应的状态空间是2维复数空间;而前者的基底状态无限多,对应空间内无数多点,其状态空间是无限多维复数空间。

(Exp.23)        量子相干现象直观证明粒子是波。

一般性波函数占据4维时空中每一点,但在双缝实验中,观测只发生在电子撞击显示屏时,且亮区只沿水平y轴方向分布,所以我们更关心撞击前一瞬间单个电子在y轴上的波函数。在这种情况下,时间固定,不是变量;空间只有y轴一维,对应的波函数为φ(y),电子位置叠加态为:

exp-24.jpg

对于每个具体的y = cφ(c)是复数,对应列矢量|y⟩ = |c,其维度无限多,每个维度对应y轴上一点,只在c点对应的维度上取值为1,其他维度均取0;左侧|φ是维度无限多的复数列矢量。电子撞击显示屏,从波坍缩成粒子,位置可能在y轴上任一点,就是从|φ坍缩成一个特定|y,如|c对应的概率密度是|φ(y)|^2可见,坍缩造成系统失去信息,让波函数发生断裂式变化,在数学上不连续,更不可导。坍缩割断了彼岸世界与现实世界,让二者泾渭分明。薛定谔波动力学的现代解读包含海森堡矩阵力学。

C.波动力学直觉可视

薛定谔方程将微观粒子视为波,并给出波变化的微分方程,让很多量子现象直觉可视、很多量子问题迎刃而解。从波动力学角度理解量子相干,如上图右侧,发射源释出的每个电子都是波,类似光波,在经过双缝时变成两束波,然后在显示屏上相遇,就像两束同频光那样发生干涉现象,产生多个条纹状亮区,这就是量子相干。量子物理与日常生活遥远,一般人不容易遇到。但看到波相干条纹,人就直觉感到量子现象发生了。

另一个例子是量子不确定性原理。根据矩阵乘法没有交换律的特点,海森堡推导出这个原理。它是量子力学重大成就,但结论违反直觉,一般人难以理解。将粒子看成波后,这个原理变得简单。下面讲解大概直觉,以动量与位置之间的不确定性为例:


b07.jpg

其中p为动量,x为一维空间位置。因为粒子都是波,借用中学物理中光波的动量公式:


b08.jpg

这个公式其实适用于所有粒子。其中λ是波长,k是空间频率,k = 2π/λ。对等式两边求导,很容易得到:


b09.jpg

其意义,动量的不确定性就是波长的不确定性,也是空间频率的不确定性。根据(Exp. 20),如果只考虑x维度,任何粒子波函数都可以分解成平面波的线性组合:


b10.jpg

其中k取值范围是Δk。当Δp非常狭窄,Δk→0,k和λ接近常数,φ(x)接近单一空间频率波exp(i∙kx)在空间中无限延展,从宇宙的一边到另一边,所以粒子位置变得极端不确定Δx→∞。反过来,如果要求位置x精准,Δx变窄,φ(x)变得更尖峰。根据傅里叶分析,波越尖峰的空间频谱越宽,Δλ和Δk越大,所以Δp变大。

D.哥本哈根诠释的由来与后续

1925年7月开始,海森堡在大约一年时间里连续发表3篇重要文章,创立矩阵力学。与之平行,从1926年1月开始,薛定谔也在大约一年里连续发表5篇文章,创立波动力学。两个天才同时灵感大爆炸,互相较劲,嘴炮隆隆。海森堡在1926年写给泡利的信中说道,“我越思考薛定谔理论中的物理部分,就越觉得厌恶。他说自己的理论直觉可视,其实都说不通。简言之,都是胡扯”【14】。薛定谔则把矛头指向矩阵力学中的坍缩概念,称之为“量子跳跃”【9】,因为坍缩造成物理体系不连续,丧失信息,过程不可逆。也在1926年,他当面对玻尔说,“如果我们非得接受这该死的量子跳跃,那我真后悔当初介入(量子领域)”【9】。他原是光学专家,只因发明波动力学才涉足量子物理。

虽然文无第一,但平心而论,矩阵力学很可能是近现代科学史上最大突破、海森堡是牛顿之后最伟大的科学家。世界各地的老百姓都知道爱因斯坦。但论重要性,量子物理不比相对论差;论独创性,海森堡超越爱因斯坦。关于狭义相对论,其核心是洛伦兹时空变换。在爱因斯坦之前,洛伦兹已完成大部分物理概念,庞加莱(Henri Poincaré,1854–1912)已给出坚实的数学分析。关于广义相对论,希尔伯特几乎与爱因斯坦同时完成场方程,二人结论一致,推导路径不同,各有千秋。我远非否定爱因斯坦,只是指出他成功因为站在别人肩膀上,就像绝大多数成功的人一样。但海森堡单枪匹马提出矩阵力学,没有其他科学家的肩膀可站。如果一定要找出他站在谁的肩膀上,我们的目光必须跳出科学界,投向柏拉图、康德、和耶稣。现代人褒爱因斯坦、相对贬海森堡,主要因为后者参与过希特勒的核武器计划。二战后政治氛围造成海森堡被冷藏。

回到1925、26年。整个物理学界为海森堡和薛定谔的成果而振奋,同时也因他们理论之间的明显矛盾而困惑。玻尔(1885–1962)是量子领域公认领袖,与海森堡亦师亦友,在这时责无旁贷,出面协调。玻尔只比薛定谔大两岁,出生在丹麦一个高级知识分子家庭。父亲是哥本哈根大学著名教授,母亲是犹太银行家的女儿。与海森堡家一样,玻尔家也属于路德派基督教,但说不上很虔诚。丹麦在第一次世界大战中严格保持中立,基本没有参战,所以战争几乎没影响到他。他还有个弟弟,曾是著名运动员,作为丹麦足球国家队主力参加1908年奥林匹克运动会,个人多次进球,为团队赢得银牌,退役后又成为著名数学家、哲学家。总之,玻尔来自学术气氛浓厚的精英家庭。

玻尔是康德迷,少年时就崇尚康德哲学,成年后经常与弟弟讨论哲学问题。进入量子领域后,他发现物理学所能知晓的原子内部特征,都与相关实验设置分不开;原子性质不独立于观察者,二者在根本上相关。他愈发觉得康德关于本体与现象的理论说得对。康德认为物体的本质是本体,人不可知;人感知的都是现象;但现象并非纯粹的物体性质,其中参杂一些因素源自人的认知体系。比如因果关系、四维时空等,都存于人脑,是人感知和认识宇宙的大框架,人把它们投射到所感知的事物身上。所以人观察到的现象与人自身有关。康德哲学与量子物理不谋而合【16】。

海森堡刚提出矩阵力学时,玻尔也迷惑了,不敢相信。当时除海森堡外,所有物理学家都是实在论者,理所当然地认为物理理论必须直观可视。在他们心目中,直观可视等同于现实世界,二者互为因果。比如死猫与活猫都直观可视,所以现实可行;既生又死的猫不直观可视,也就不可能出现在现实中。而矩阵力学是“形而上代数”,与直观可视原则背道而驰,比如包容猫既死又活状态。与海森堡密切交流后,玻尔比其他人更快转变思维,开始接受矩阵力学,并认为虽然人都喜欢直观可视的理论,但微观世界的真相如此,物理学要发展,就必须抛弃根深蒂固的传统观念,包括要求理论必须直观可视。玻尔的改变与他头脑里的康德哲学密切相关。

1926年10月,海森堡正与玻尔在哥本哈根一起工作。前者视后者为恩师,两人工作和个人关系都密切。在这期间,玻尔写信邀请薛定谔来访,然后主要由玻尔出面,与薛定谔深入交流,目的是将矩阵力学与波动力学协调统一,像黑格尔辩证法倡导的那样,造就超越二者的合命题。据知情者回忆,在相聚期间,为方便讨论,玻尔邀请薛定谔住在自己家里。二人每天争论,从清晨到深夜,都极端投入。大概这样的思想对决太伤身伤神,薛定谔病倒了。玻尔太太为他熬汤。但在他坐在床上喝汤时,玻尔追上来继续与他讨论。在学术思想上,玻尔总体与海森堡一致,但也非常欣赏薛定谔的方法论。他曾对薛定谔说,“我们都非常感激你介入(量子领域)。在数学清晰性与简洁性方面,你的波动力学是重大贡献,比之前所有量子力学体系都向前飞跃一大步”【9】。

可惜的是,薛定谔到最后也没被说服,一生不愿放弃实在论思想,拒绝接受包含彼岸世界的哥本哈根诠释。像他这样的著名科学家还有很多,老一代中有爱因斯坦、美国第一位诺贝尔奖获得者迈克耳孙等【15】,后来有霍金、彭罗斯等。哥本哈根诠释确实还存在问题,比如著名的观测难题。但任何科学理论都有问题。科学在本质上不是真理,只是还未被证伪的假说【16】。在当前,哥本哈根诠释的竞争对手们,比如多世界诠释,荒诞无稽,且不产生可被验证的假说【15】。与它们相比,哥本哈根诠释远更优越,所以是现代量子物理的主流诠释,是名正言顺的科学理论。

每当谈到哥本哈根诠释的历史,人们总会提及两位创始人,海森堡和玻尔,经常漏掉薛定谔。后者实际上也起过重大作用。哥本哈根诠释主要是他们三人智慧的结晶。但薛定谔主要以反对者身份做贡献,所以在平常意义上不能算作创始人。就像中共在很多方面吸取、借鉴了国民党的思想与经验,但蒋介石不能算中共或中华人民共和国的创始人一样。好在薛定谔的贡献没有被埋没,薛定谔方程依然被广泛应用。但现代量子物理的哲学基础不来自薛定谔,而来自海森堡。

二战之后,海森堡因曾参与纳粹核武器计划,被国际社会怀疑和排斥。他与恩师玻尔之间也有了芥蒂。丹麦没受到一战影响,但在二战中被德国占领。玻尔并不自认犹太人,但他母亲有犹太血统,按纳粹政策他是。惊吓中他逃亡,仇恨纳粹,不能忍受海森堡帮助纳粹。在德国内部、以及在专业物理界,海森堡从来备受尊重。说到底,纳粹没造出原子弹。战后西德政府也竭力为他开脱,说是因为他故意阻止。这种说法不太可信。他周游世界讲学,谨言慎行。生活中他夫妻恩爱,家庭幸福,并受到熟人和同行们的敬重。1976年,他患癌去世。薛定谔是个极端左派,纳粹没上台时他反对,纳粹上台后占领奥地利,压力之下他改口支持,但依然不被接纳。他只好逃亡,曾逗留美英,但都待不长,主要因为他男女关系混乱,家里有个太太、还有个情妇,三人同住。并且他喜欢未成年少女。西方反基督教者大多如此,丧失道德准绳。英美大学在那个年代还要求教授为人师表,无法容纳他。他只好在偏僻的爱尔兰工作十几年,兴趣逐渐从物理扩展到哲学、生物学等领域。他退休后,母校维也纳大学发来邀请,并为他特设一个讲座教授职位。他回到奥地利,几年后去世。

四 量子退相干

前文回顾量子力学理论基础与发展简史,这章将依据已介绍的理论,解释一个学过量子力学的人经常谈及、同时又被广泛误解的时髦问题,量子退相关。

大约一年前,我在网上查询量子物理资料,误打误撞进入一个学术讨论组,与其中一位退休老工程师争论起来。他坚决认为观测难题已被解决,坍缩背后的原因就是量子退相干。我给他具体反对理由,他也不相信。言语中他表现得很懂物理学,知道很多细节,却如此抱残守缺,让我错愕。再后他讲起自己经历与思想发展过程。他家祖祖辈辈都是基督徒,几代之前从欧洲移民到北美。他出生在小镇,从小随父母信神。大学里他主修物理,同时进了城,开阔了视野,在校园里结交很多进步派新朋友。于是他开始怀疑神,后来离开基督教。他对我说信教太压抑,不信教后他自由自在多了。我能理解他。认真做基督徒需要承受来自内心与社会的巨大压力,在不信教的人看来明显不合算。

(Exp.25)        信仰带来内心责任与压力,不信的人觉得得不偿失。

我是基督徒,他曾经是基督徒,所以我们之间一点就透,交流很快深入。我逐渐懂得他为什么拒绝承认观测难题是个难题。中外古人都信神,“无神论者”本来是骂人话。严肃的无神论历史很短,诞生于近代西方。其最关键理由、甚至是唯一理由,是科学可以解释宇宙万物,所以神不再必要。自文艺复兴起,经典科学大发展,声称可以推算未来与过去,无神论也跟着兴隆。比如马克思明确说自己的无神论基于科学。在他生活的时代,科学就是经典科学。但双缝实验、施特恩-格拉赫实验等证据证明经典科学错了。

(Exp.26)   无神论的存在理由是,科学完全解释宇宙,所以神不必要。

进入二十世纪之后,新科学发现微观世界量子化,物理规律存于彼岸世界,坍缩每时每刻在发生。现代量子物理只能解释坍缩中大样本概率,却无力解释单次坍缩结果。科学家们并非没有努力,只是真找不到原因。事出必有因。找不到决定单次坍缩结果的科学因素,理性的目光自然重新转向神。科学遇到解决不了的“观测难题”,岂不正印证了现实之外有神、神的意志控制宇宙、神完全不受现实局限吗?所以那位老兄不能承认观测难题存在。承认了,就是承认神必要,他的大半生就全错了。后果太严重,他不敢面对。

(Exp.27)   “观测难题”代表科学无力完全解释宇宙。

这位老兄绝非个例,很多人有类似心态。比如薛定谔很早走上反传统人生路,不信神、不认同主流唯心主义。如果人到中年,他接受了海森堡的“形而上代数”,岂不等于承认自己的人生全走偏了吗?终其一生他也没表现出那个勇气。2016年,两位数学家主持,严肃调查西方各国专业物理学家们的意见,发现29%认为量子退相关解决了观测难题,另外17%认为观测难题不存在。加在一起,近一半专业物理学家们不愿正视观测难题【11】。

现代科学已变成一个普通行业,大多数科学家们选择做这行,只为挣口饭吃,早不像伽利略、牛顿、笛卡尔、开普勒那样为追求神而研究科学【18】,甚至不像玻尔、海森堡等那样为追求科学真理而投身科学。当今西方学术界时髦无神论,不信神的比例超过社会平均值,根本原因是科学家们“聪明”,不愿为信仰承受额外压力,与那位老兄一样。他们拒绝正视科学、不承认观测难题,其原因也与那位老兄的一样。如果承认了,几乎等于承认神,也就是宣布自己错了。因为“聪明”,科学家们看这个逻辑比普通人看得更清楚,所以他们态度坚定。当前科学界在精神上堕落,很多朋友遇事还迷信科学家们的意见,已不合时宜。

(Exp.28)   承认科学不能完全解释宇宙,近似承认神必要。

A.双缝实验中的退相干

到底什么是退相干(Decoherence)?退相干与量子相干密不可分。前文介绍双缝实验时曾简略谈及量子相干,下面继续以双缝实验为例解释退相干。


pic-09 - small.jpg

9. 双缝实验的三种结果。从O点向显示屏发射电子,中间经过双缝A与B。左,发生量子相干:在恰当设置下,来自同一个电子的A和B两束波之间发生干涉。发射大量电子后,显示屏上出现多个波纹亮区,如f1。中,单缝实验:将B缝堵住,显示屏上只有一个亮区如f2,与经典物理中将电子视为硬体小球的预测结果一样。右,无相干:调整实验设置,比如将双缝之间距离拉大,让A和B两束波之间空间距离足够远,二者之间完全独立,不产生相干,显示屏上产生两个分离亮区如f3,又与经典物理预测结果一样。无相干与退相干是不同概念。显示屏上亮度代表电子密度,在大样本条件下等于概率密度,所以f1、f2、f3也代表概率密度函数曲线。

O点出发的一颗电子,其波函数一般形式为:


b11.jpg

其中x是波离开O点后行走的距离,α是全局相位。根据(Ep.15)全局相位不影响任何物理观测,且波函数前系数最后重新概率归一,所以a∙exp(i∙α)可以省略。显示屏上任意P点迎来A和B两束波,分别为:


b12.jpg

两束波来自同一电子,到达P点时存在一个固定的相位差θ = kΔr,形成组量子叠加态:

exp-29.jpg

波函数在P点是A、B两个波函数的和:


b13.jpg

为方便,省去表达式中时间t。电子坍缩到P点的概率密度,也就是P点亮度为:

exp-30.jpg

其中*代表共轭复数,[exp(iθ)]* = exp(-iθ)。等式中exp(iθ) + exp(-iθ)部分代表P点概率密度里的相干部分,数值为实数2cos(θ)。可见:

(Exp. 31)        只要相位差θ稳定且θ ≠ π/2,量子相干就会发生。

退相干由随机干扰造成。在双缝实验中,电子波函数很容易受环境因素影响,比如在经过隔板时与实验装备发生相互作用,A、B波之间相位差产生随机移动,变成θ̃。于是:

exp-32.jpg

可见,P点概率密度里的相干部分消失,代表量子退相干发生。等式中只剩下|φA |^2B |^2,对应f3,与经典物理预测结果一致。

(Exp. 33)        受外界干扰,相位差产生随机移动,造成退相干。

 


pic-10.jpg


10. 量子退相干基本原理。退相干依赖数学公式: 当θ̃随机,平均[exp(iθ̃)] = 0。原因是exp(iθ̃) 总落在右图中红色复数单位圆上,而单位圆上的复数平均值是0。

exp-34.jpg

虽然大样本实验中的结果看似一样,量子退相干与经典物理存在本质区别。在经典物理中,单个电子只经由A或B缝中的一个。但在退相干中,单个电子是波,总通过A和B两个缝、分成两束波,撞击到显示屏上才坍缩成粒子。所以退相干依然包含量子物理中独特的“单一粒子通过两条缝”的不确定性质,并且还有个随机坍缩过程,所以:

(Exp. 35)             退相干没有解决观测难题。

B.施特恩-格拉赫实验中的退相干

退相干也发生在施特恩-格拉赫实验。在图6中,显示屏上出现两个亮区,没有干涉条纹,也是量子退相干。其中单个电子存在两套量子叠加,一是空间位置的无限多可能,二是自旋状态的两种可能,上旋和下旋。在电子进入磁场前,它的总状态是两种叠加态的乘积:

exp-36.jpg

其中θ是上旋与下旋之间的相位差。(Exp. 36)和关于双缝实验的(Exp. 29)一模一样,前者的上、下旋波分别对应后者的A、B波。二者其余数学处理与结论也一样,外界干扰让θ变成随机的θ̃ ,进而造成退相干现象。

在施特恩-格拉赫实验中,电子通过磁场时与大量虚光子相互作用。虽然有理论可以计算出磁场造成的相位移,但实际上电子与磁场相互作用,牵扯海量微观粒子,情况错综复杂,引入随机因素。与双缝实验相比,施特恩-格拉赫实验还有个额外特点。同一电子的上旋与下旋波在磁场中受到方向相反的磁力,造成它们在空间上分离,进一步降低量子相干的可能性。

五 结束语:感悟科学与哲学

我读高一的时候,物理课上刚学牛顿三大定律,一天晚上躺在床上睡不着,全然出于无心,头脑里闪过相关内容。我突然觉得“看”到了牛顿描述的世界,明白了他在说什么。他说只要我知道现在每样东西的几个简单参数,如质量、位置、速度等,我就可以精准预计未来。不但是我身边环境的未来,而是整个宇宙的未来,所有和每样东西。于是在黑暗中我觉得天地开了,墙壁和房顶都迅速退去,我独自悬浮在空中,仿佛失去了重量,正从床上向上“跌入”宇宙深处,身边尽是大小星辰。

当时不懂,多年以后我才知道那叫“顿悟”。去年,我与在日本工作的老同学通话,他讲到他在中学时学牛顿力学时经历过震撼,让我又回想起这段少年往事。经典物理包括牛顿力学和经典电磁学,是绝对的物质决定论。其描绘的物质世界永恒、完整。永恒,当然就是无始无终。完整,细究起来包含两个意义。一是它不丢失任何信息。根据宇宙当前状态,你可以回推过去任何时刻宇宙完整状态。二是它不需要任何新信息。根据宇宙当前状态,你可以推算出未来任何时刻宇宙完整状态,无需额外信息。理解这点让我既激动又压抑。

经典物理说万事都是决定好的。未来将是什么样子,只与当前每个质点的质量、电荷、和时空性质有关,都冷冰冰,与人无关,与我无关。人的爱恨情仇、选择、决心、希望、梦想等,都是虚假的,也由某些质点的质量、电荷、和时空性质决定,在本质上是衍生的,毫不重要,对世界、对未来都没有影响,是人的自欺欺人。很明显,如果任何人真相信经典物理,就只可能是唯物主义者和宿命论者。那位在日本的同学也说到,他中学时理解这点后非常郁闷。可惜我俩高中时相隔千里,大学时虽常见面也没机会谈及这类事。

以海森堡思想为核心、以薛定谔方程为补充的哥本哈根诠释,描绘了另外一个完全不同的世界。薛定谔方程与牛顿第二定律类似,也永恒和完整。如果没有观测或坍缩,波函数根据薛定谔方程运动,也无始无终,也可精准推算未来与过去。但二者有根本不同。薛定谔方程描述彼岸世界,波函数存于彼岸世界,只在坍缩后才投射到现实。现实并不独立自主、而源于彼岸世界的坍缩,否定了唯物论。

另外,坍缩造成信息丧失。比如对于单一电子,你观测后发现它在z轴上自旋为下,你无法由此还原坍缩前它的完整状态矢量。同一个现实状态对应无限多个可能的量子状态矢量。每个当前量子状态矢量,通过薛定谔方程,对应一个未来状态矢量。未来状态矢量又可能坍缩成多种未来现实,比如同一个自旋叠加态可能坍缩成上旋,也可能坍缩成下旋。这造成当前宇宙与未来宇宙没有一一对应关系,否定了决定论。

 


pic-11.jpg


11. 图解哥本哈根诠释背后的世界观。现实中的现在与未来,通过彼岸世界才互相联系,在现实中没有直接联系。在彼岸世界里,如果完全没有坍缩,根据薛定谔方程,现在与未来一一对应,互可推算。彼岸世界坍缩,造就现实世界,说明现实源于彼岸世界,否定唯物论。但坍缩过程丢失信息,造成现实是彼岸世界不完美的影子。同一个现实对应多个彼岸世界状态,不可能从现实推算彼岸世界。在现实世界里,现在与未来互不可推算。同一个现在对应多个可能未来,反之亦然,否定决定论。

“坍缩”很神秘。物理界承认观测造成坍缩,但什么是“观测”还没有共识。这是观测难题的一部分。我曾介绍过“意识造成坍缩”观点,由天才数学家诺伊曼在1932年提出,著名物理学家维格纳进一步澄清和扩展【15】。主流物理学界抵触这个论点,很少人敢于站出来支持,大概因为意识在科学范畴之外,如果承认这个观点正确,就证明科学有重大局限,对整个科学界不利。行业内的人不说,行业外的人就很少听说。但没有任何实验证伪这个观点。它是当前最简单、直接、符合逻辑和证据的观点,远好于其他竞争观点。科学本质就是未被证伪的假说,“意识造成坍缩”是当前最优解释,又未被证伪,就应该算科学。如果它是对的,那么人的意识参与创造现实,直接支持唯心论,否定唯物论。


pic-12.jpg


12. 提出“意识造成坍缩”观点的诺伊曼(John von Neumann, 1903–1957)和维格纳(Eugene Wigner, 19021995)。两人是一辈子的朋友,都是匈牙利犹太人,两家都很早皈依基督教,融入当地社会。前者出身巨富贵族家庭,著名神童,著名数学家,但53岁英年早逝。后者出身中产阶层,物理学家,获1963年诺贝尔物理学奖。他俩从小是同学,同到柏林读大学,同到美国普林斯顿大学工作,一起成为美国公民,一起参加曼哈顿计划。顶尖科学家之间经常存在让人惊讶的联系。右为1928年海森堡与维格纳在柏林。

经常有朋友指责、嘲笑基督教不讲理性与逻辑,包括很多在海外学习生活几十年、拿到博士学位的人。其实唯心主义哲学是标准的理性,这是为什么康德的书叫《纯粹理性批判》。他批判的就是传统唯心主义,但大多数国人不知道。而科学在本质上不理性,比如休谟的“归纳法丑闻”【16】。撇开这些不谈,现在的问题是,如果科学违反逻辑和理性,这些朋友能不能做到一视同仁,敢于批判和嘲笑科学?在量子物理中,人的观测启动坍缩,但坍缩结果不受人、或任何现实因素决定。科学界于是举手投降,宣布坍缩结果完全随机。这明显违反逻辑与理性。在逻辑学里,这个结论违反充分理由律PSR,就是“事出必有因”论。如果遵循理性与逻辑,坍缩结果必然有原因。原因不在现实,也不在人,就必然在彼岸世界里。这个居于彼岸世界的东西能够控制现实,所以有能动性,是一种意识与意志。根据定义,那就是神。


pic-13.jpg


13. 为填补科学留下的逻辑漏洞,推测人与神在坍缩中的作用。其中人或神的意识启动坍缩,神单独决定每次坍缩结果。如此解释符合逻辑,尤其逻辑公理PSR。

人能知晓抽象的量子状态空间,只因人感知到现实,然后将现实与逻辑结合、顺藤摸瓜到彼岸世界。我们因此了解到彼岸世界的一部分。但没有理由让我们相信,人能够获知彼岸世界的全部。彼岸世界高于现实,制约现实,甚至决定现实,但彼岸世界里完全可能有很多内容不反映到现实里。基于简单逻辑,彼岸世界可能包含一些东西只可反映到人头脑里,或就呆在彼岸世界内部,不反映到任何其他地方。依据这样的推理,康德才说物体的本体,人既不能依靠感官感知,也不能用头脑理解。他是虔诚的基督徒,明确讲人不可能感知神,因为神是纯本体,没有现象。早于康德,几千年来很多神学家根据《圣经》获得类似观点。神超越人的感知与认知,人可能知道一些关于神的事,但不可能知道神的全部。量子物理旁证了这些哲学与神学观念。

生命的历史短于宇宙寿命。在人与动植物出现之前,什么因素造成量子态坍缩成现实呢?结合“意识造成坍缩”观点,我们可以推测,那时坍缩的原因应该是神,因为神就是一种意识。这与《圣经》中“神创造宇宙”的记述不谋而合。今年是海森堡创立矩阵力学一百周年。量子理论如此现代和尖端,却与古老的基督教、更古老的《圣经》、和唯心主义哲学如此环环相扣,难道不让人惊讶吗?当科学与基督教和唯心主义哲学越走越近时,那些号称自己相信科学、所以不相信基督教和唯心主义的人,情何以堪?在中国,这类男女数以亿计。他们高傲地宣布,自己信任逻辑,所以信仰科学、反对宗教。当发现科学违反逻辑、基督教符合逻辑时,他们会不会像叶公好龙那样,看到“龙”真来了,不但没有上前拥抱,反而吓得落荒而逃?

0.00%(0) 0.00%(0) 0.00%(0)
当前新闻共有0条评论
笔  名 (必选项):
密  码 (必选项):
注册新用户
标  题 (必选项):
内  容 (选填项):